西西444www大胆高清图片I久久草网I国产综合香蕉五月婷在线I91麻豆福利I91av视频I日韩av一区在线观看

一站式實驗室

整體解決方案服務商

咨詢

電話

851-2569016

13809460779

內頁banner

產品中心

當前位置: 首頁> 產品中心> 香料

聯系我們Contact Us

貴州清鎮瑞日精細化工有限責任公司

手 機:13809460779

座 機:0851-2569016

郵 箱:contcat@eschemical.com

網 址:m.canami.cn

地 址:貴陽市清鎮市干河壩村

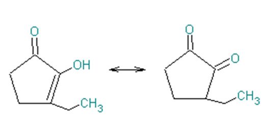
乙基環戊烯醇酮(ECP)

來源:貴州清鎮瑞日精細化工有限責任公司 發布時間:2024-06-13 瀏覽:2674次

乙基環戊烯醇酮(ECP)

3-乙基-2-羥基-2-環戊烯-1-酮

P003

分子式:C7H10O2

分子量:126

純度:>99%

熔點:38-40℃

外觀:白色結晶

管理情況:FEMA NO.3152

香氣和性質:具有焦糖和椰子的香味。味甘且回香,有韻味,令人愉快和興奮。

用途:作為食用香料,可使食品獲得極好的風味,同時具有增香、增甜的作用。作為煙用香料。能改善煙葉的香料,能改善煙葉的香味和吃味,提高煙葉檔次和香煙質量。


上一篇:二氫茉莉酮

電話:13809460779   0851-2569016

郵箱:contact@eschemical.com

地址:貴陽市清鎮市干河壩村

手機網站

手機網站