西西444www大胆高清图片I久久草网I国产综合香蕉五月婷在线I91麻豆福利I91av视频I日韩av一区在线观看

One stop laboratory

Overall solution service provider

電話

contact

phone

851-2569016

13809460779

內頁banner

Product Center

current location: Home> Product Center> Aroma chemical

Contact Us聯系我們

GuiZhou QingZhen Rise Fine Chemicals Co.,Ltd.

mobile:13809460779

phone:0851-2569016

email:contcat@eschemical.com

website:m.canami.cn

address:Ganheba Village, Qingzhen City, Guiyang City

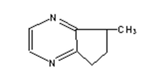
5H-5-Methyl-6,7-dihydrocyclopentapyrazine

source:GuiZhou QingZhen Rise Fine Chemicals Co.,Ltd. Release time:2024-06-13 browse:1628

5H-5-Methyl-6,7-dihydrocyclopentapyrazine

P015

Molecular formula: C8H10N2

Molecular weight: 134.178

Assay:>99.0%

Boiling point:78-80℃/10mmHg, 47℃/0.7mmHg

Refractive index:1.5290

Appearance:Colorless to light yellow liquid.

Rugulaton status:FEMA NO.3306

Sense and characteristics:Have flavour of toastfood;like roasted meat and baked bread.

phone:13809460779   0851-2569016

mailbox:contact@eschemical.com

address:Ganheba Village, Qingzhen City, Guiyang City

Mobile website

Mobile website